在饮用水源地等贫营养水体中,尽管总氮浓度不高,但低浓度的硝酸盐氮(NO₃⁻-N)仍可能引发富营养化和水质恶化等问题。传统好氧反硝化过程通常依赖外加有机碳源作为电子供体,但在低碳环境下,脱氮效率明显受限。同时,外加碳源存在成本高、操作复杂及副产物污染等风险。近年来,纳米零价铁(nZVI)因其优异的还原性能被广泛关注,作为无机电子供体用于脱氮工艺。然而,nZVI易发生氧化、团聚和沉降,导致其活性迅速下降,限制了其在实际水体中的应用效果。为解决上述问题,本研究开发了一种新型材料——二氧化硅包覆纳米零价铁(nZVI@SiO₂),通过“包覆保护+缓释供电子+协同微生物代谢”的策略,实现对贫营养水体中好氧反硝化过程的持续强化。该材料采用一步法合成,通过调控Si/Fe比例来控制Fe(II)的释放速率,从而提升其在微生物体系中的电子供给能力。
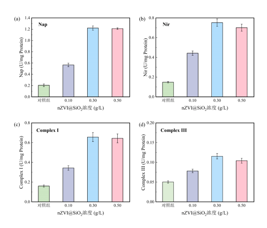
在最优条件下(nZVI@SiO₂-1,Si/Fe = 0.2,投加浓度0.30 g/L),nZVI@SiO₂在48小时内可实现90.64%的NO₃⁻-N去除率和80.94%的总氮(TN)去除率,显著优于裸nZVI体系。同时,经过四轮重复使用后,其NO₃⁻-N和TN去除率仍分别保持在89.33%和78.08%,表现出优异的可持续性与循环稳定性。电化学测试结果显示,nZVI@SiO₂显著提升了系统的电子转移能力。循环伏安(CV)测试表明,nZVI@SiO₂-1的闭合电流面积达35.43 μC,高于nZVI(26.75 μC)和SiO₂(15.73 μC),反映出其更强的电子存储和释放能力。电化学阻抗谱(EIS)测试显示其电荷转移电阻为228.7 Ω,利于微生物电子链的高效耦合。此外,nZVI@SiO₂所缓释的Fe(II)可直接参与细胞内的氧化还原过程,为微生物脱氮反应提供电子。微生物代谢活性方面,nZVI@SiO₂的添加显著提升了电子传递系统活性(ETSA由0.061升至0.14 μg O₂/(g protein·min))和ATP水平(最高达357.79 nmol/L)。关键脱氮酶Nap和Nir的活性分别提高了近6倍和5倍,电子传递链中复合体Complex I和Complex III的活性分别增强了4.09倍和2.29倍。此外,nZVI@SiO₂还能促进胞外聚合物(EPS)的分泌,EPS作为电子传导介质和内源碳源,不仅增强了电子迁移效率,还提高了微生物对Fe离子的耐受性和系统稳定性。
基于以上结果,研究构建了“Fe(II)—电子传递链—酶促反应”协同作用机制模型。nZVI@SiO₂通过缓释Fe(II),促进微生物内源NADH转化、关键酶活性提升及电子流持续供给。其生成的EPS-Fe络合物形成稳定的电子迁移路径,进一步增强了胞外电子转移和代谢反应的效率,从而实现了电子供给、传递与消耗的协同优化。
综上,本研究突破了nZVI实际应用中易失活、不可控的技术瓶颈,构建了“硅包覆缓释—电子传递促进—微生物共代谢”新型强化体系,在低碳源条件下显著提升了好氧反硝化效率,为饮用水源地氮污染的绿色、可持续治理提供了高效可靠的无机电子供体新方案。
该研究成果以“Silica-coated nano zero-valent iron as a slow-release electron donor for sustained enhancement of aerobic denitrification in oligotrophic source water: Performance and mechanism”为题发表在环境领域期刊Science of the Total Environment。秦岭水源地水质陕西省野外科学观测研究站文刚教授为通讯作者,硕士研究生吴天化为第一作者。该研究由国家重点研发计划(2022YFC3203602)、国家自然科学基金(52370018)、陕西省科技创新团队(2023-CX-TD-32)和陕西省科技引领计划(2023GXLH-058)共同资助。
文章链接:https://doi.org/10.1016/j.scitotenv.2024.177429

图1 nZVI@SiO₂对好氧反硝化细菌系统中氮去除效果的影响

图2重复使用nZVI@SiO2提高好氧反硝化菌的脱氮效果

图3SiO₂、nZVI和nZVI@SiO₂-1的循环伏安曲线(a)及电化学阻抗谱(b);不同浓度的nZVI@SiO₂-1颗粒对电子传递系统活性(c)和总ATP浓度(d)的影响。

图4不同浓度nZVI@SiO2-1粒子对电子转移酶活性的影响

图5nZVI@SiO₂增强好氧反硝化脱氮过程的作用机制图