该研究聚焦于有害藻类水华(HABs)的控制,特别是针对铜绿微囊藻(Microcystis aeruginosa)的去除,以及同步进行的水体氮污染处理。随着水体富营养化加剧,HABs频发,严重威胁水生生态系统和人类健康。传统化学和物理方法存在诸多限制,因此,探索环保经济的生物降解方法成为研究热点。
研究采用了一株具有好氧反硝化能力的放线菌——链霉菌LJH-12-1(L1),通过其分泌的胞外活性物质展现出显著的杀藻效果。实验表明,L1菌株的胞外滤液对铜绿微囊藻的杀藻率高达85%,并能在杀藻过程中同步去除96.05%的硝酸盐氮,显著提高了氮循环功能基因的相对丰度。
研究还进一步探索了L1菌株在模拟原水处理中的应用潜力,结果显示,在原水中L1菌株依然能保持76.7%的杀藻率和81.4%的总氮去除率,同时显著降低了原水中细菌群落的丰富度和多样性。通过高通量qPCR技术和微生物群落结构分析,揭示了L1菌株在杀藻过程中氮循环功能基因的表达变化及细菌群落结构的动态调整。
本研究为利用具有反硝化耦合杀藻能力的细菌菌株处理微污染水体提供了新思路,不仅有效控制了HABs,还同步改善了水体氮污染状况,对水生生态系统的健康维护和水资源保护具有重要意义。该研究成果丰富了生物法控制HABs的技术体系,为未来的水环境治理提供了科学依据和技术支持。
该成果于2024年5月15日以“Algicidal activity synchronized with nitrogen removal by actinomycetes:Algicidal mechanism, stress response of algal cells, denitrification performance, and indigenous bacterial community co-occurrence”为题在线发表于环境科学与工程领域顶刊Journal of Hazardous Materials (IF =12.2),西安建筑科技大学马奔和李桉轶为本文第一作者,张海涵教授为通讯作者。该研究获得国家重点研究发展计划项目、国家自然科学基金项目、陕西省高校青年创新团队项目、陕西省高校青年创新团队项目基金的资助。
论文链接:https://doi.org/10.1016/j.jhazmat.2024.134117

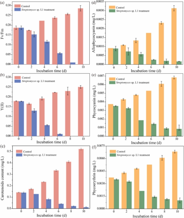
图1.在用链霉菌菌株的上清液处理铜绿微囊藻期间观察到LJH-12-1(L1)和对照组的(a) Fv/Fm、(b) Y(II)、(c)类胡萝卜素、(d)别藻蓝蛋白、(e)藻蓝蛋白和(f)藻红蛋白的变化。

图2.对照组和实验组中(a)丙二醛(MDA)、(b)过氧化氢酶(CAT)和(c)超氧化物歧化酶(SOD)的变化。

图3.对照组和实验组中(a)总ATP,(b)细胞内ATP的变化。

图4.共培养条件下溶藻过程中的脱氮性能及去除效率。(a)亚硝酸盐(NO2--N)和氨(NH4+-N),(b)硝酸盐(NO3--N),(c)总氮(TN)。

图5.链霉菌溶藻过程中功能基因的相对丰度。第0、5和10天的L1;(a)C减少;(b)C固定;(c)N循环;(d)P循环;(e)所有功能基因的热图分析;(f)所有功能基因的网络分析。

图6. (a)原水处理过程中叶绿素a浓度和溶藻率的变化。原水共培养处理过程中的脱氮性能及去除效率:(b)亚硝酸盐(NO2--N)和氨氮(NH4+-N),(c)硝酸盐(NO3--N),(d)总氮(TN)。

图7. (a)处理前后城市湖泊藻类群落组成在门一级的变化;(b)处理前后藻类群落组成的热图分析;(c)门一级细菌群落组成的丰度分布和差异三元图;(d)细菌群落组成在属一级分布的柱状图;(e)原水处理前后细菌群落组成的线性判别分析效应大小(LEfSe)分析。线性判别分析(LDA )显示差异丰富的分类群;(f)显示细菌群落组成的系统发育结构的分支图。